学院主页
收藏本站
搜索
Toggle navigation
首页
部门介绍
教育管理
学生管理
资助管理
心理健康教育
党建工作
学习专栏
支部生活
宿舍管理
资料下载
首页
>
新闻公告
>
通知公告
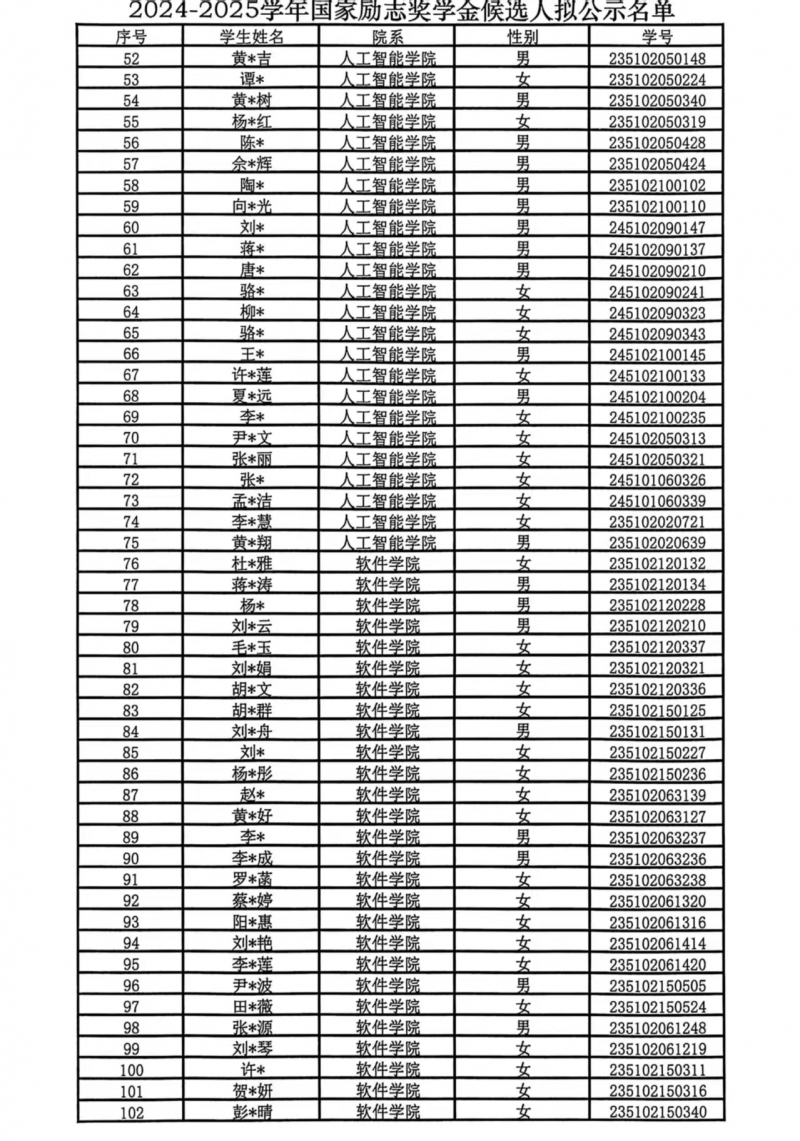
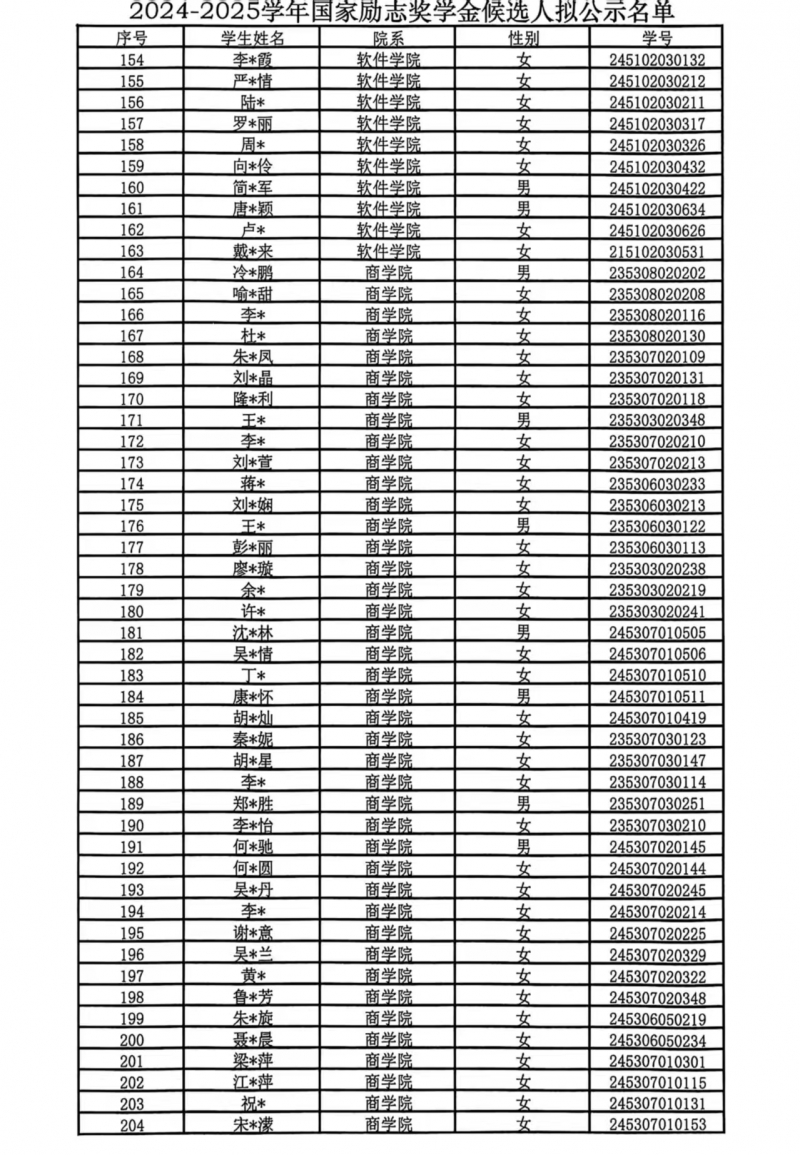
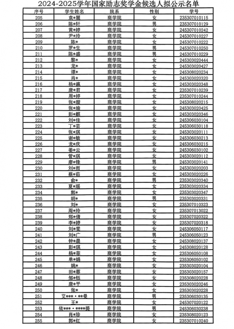
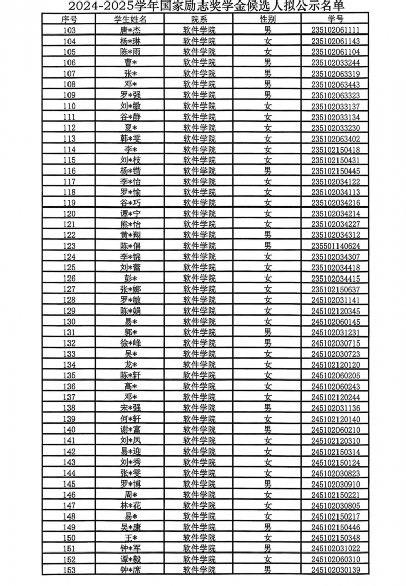
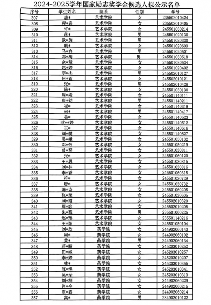
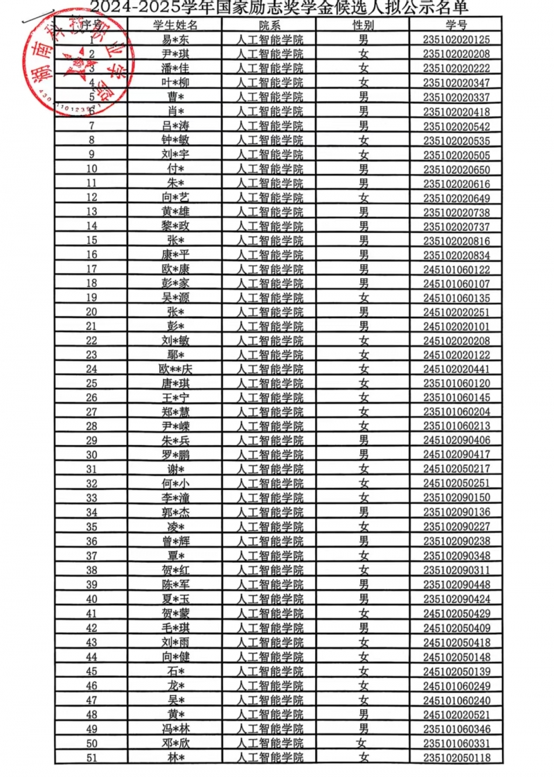
关于2024-2025学年国家励志奖学金候选人的公示
日期:2025-11-06 15:14:26 发布人:Kjxy_xsgzc 浏览量:
213
操作>>
核发:Kjxy_xsgzc
点击数:213
【
收藏本页
】
上一篇:
关于 2025 年专业技术岗位内部晋级初审合格人员名单的公示
下一篇:
关于2024-2025学年国家奖学金候选人的公示
返回首页
关闭页面
分享到
相关链接